Skip to contents

The support dataset tracks five response variables: hospital death, severe functional disability, hospital costs, and time until death and death itself. The patients are followed for up to 5.56 years. See Bhatnagar et al. (2020) for details.

Usage

data(support)

Format

A data frame with 9,104 observations and 34 variables after imputation and the removal of response variables like hospital charges, patient ratio of costs to charges and micro-costs following Bhatnagar et al. (2020). Ordinal variables, namely functional disability and income, were also removed. Finally, Surrogate activities of daily living were removed due to sparsity. There were 6 other model scores in the data-set and they were removed; only aps and sps were kept.

age

stores a double representing age.

death

death at any time up to NDI (National Death Index) date: 12/31/1994.

sex

0=female, 1=male.

slos

days from study entry to discharge.

d.time

days of follow-up.

dzgroup

each level of dzgroup: ARF/MOSF w/Sepsis, COPD, CHF, Cirrhosis, Coma, Colon Cancer, Lung Cancer, MOSF with malignancy.

dzclass

ARF/MOSF, COPD/CHF/Cirrhosis, Coma and cancer disease classes.

num.co

the number of comorbidities.

edu

years of education of patients.

scoma

the SUPPORT coma score based on Glasgow D3.

avtisst

average TISS, days 3-25.

race

indicates race: White, Black, Asian, Hispanic or other.

hday

day in Hospital at Study Admit.

diabetes

diabetes (Com27-28, Dx 73).

dementia

dementia (Comorbidity 6).

ca

cancer state.

meanbp

mean arterial blood pressure day 3.

wblc

white blood cell count on day 3.

hrt

heart rate day 3.

resp

respiration rate day 3.

temp

temperature, in Celsius, on day 3.

pafi

PaO2/(0.01*FiO2) day 3.

alb

serum albumin day 3.

bili

bilirubin day 3.

crea

serum creatinine day 3.

sod

serum sodium day 3.

ph

serum pH (in arteries) day 3.

glucose

serum glucose day 3.

bun

bun day 3.

urine

urine output day 3.

adlp

adl patient day 3.

adlsc

imputed adl calibrated to surrogate, if a surrogate was used for a follow up.

sps

SUPPORT physiology score.

aps

apache III physiology score.

Source

Available at the following website: https://biostat.app.vumc.org/wiki/Main/SupportDesc.

Details

Some of the original data was missing. Before imputation, there were a total of 9,104 individuals and 47 variables. Following Bhatnagar et al. (2020), a few variables were removed. Three response variables were removed: hospital charges, patient ratio of costs to charges and patient micro-costs. Hospital death was also removed as it was directly informative of the event of interest, namely death. Additionally, functional disability and income were removed as they are ordinal covariates. Finally, 8 covariates were removed related to the results of previous findings: SUPPORT day 3 physiology score (sps), APACHE III day 3 physiology score (aps), SUPPORT model 2-month survival estimate, SUPPORT model 6-month survival estimate, Physician's 2-month survival estimate for pt., Physician's 6-month survival estimate for pt., Patient had Do Not Resuscitate (DNR) order, and Day of DNR order (<0 if before study). Of these, sps and aps were added on after imputation, as they were missing only 1 observation. First the imputation is done manually using the normal values for physiological measures recommended by Knaus et al. (1995). Next, a single dataset was imputed using mice with default settings. After imputation, the covariate for surrogate activities of daily living was not imputed. This is due to collinearity between the other two covariates for activities of daily living. Therefore, surrogate activities of daily living were removed. See details in the R package (casebase) by Bhatnagar et al. (2020).

References

Bhatnagar, S., Turgeon, M., Islam, J., Hanley, J. A., and Saarela, O. (2020) casebase: Fitting Flexible Smooth-in-Time Hazards and Risk Functions via Logistic and Multinomial Regression. R package version 0.9.0, https://CRAN.R-project.org/package=casebase.

Knaus, W. A., Harrell, F. E., Lynn, J., Goldman, L., Phillips, R. S., Connors, A. F., et al. (1995) The SUPPORT prognostic model: Objective estimates of survival for seriously ill hospitalized adults. Annals of Internal Medicine, 122(3): 191-203.

Examples

# \donttest{
data(support)
set.seed(123)

support <- support[support$ca %in% c("metastatic"),]
time <- support$d.time
death <- support$death
diabetes <- model.matrix(~factor(support$diabetes))[,-1]
#sex: female as the reference group
sex <- model.matrix(~support$sex)[,-1]
#age: continuous variable
age <-support$age
age[support$age<=50] <- "<50"
age[support$age>50 & support$age<=60] <- "50-59"
age[support$age>60 & support$age<70] <- "60-69"
age[support$age>=70] <- "70+"
age <- factor(age, levels = c("60-69", "<50", "50-59", "70+"))
z_age <- model.matrix(~age)[,-1]
z <- data.frame(z_age, sex, diabetes)
colnames(z) <- c("age_50", "age_50_59", "age_70", "diabetes", "male")
data <- data.frame(time, death, z)

n <- nrow(data)
n_ext  <- floor(0.87 * n)
n_int  <- floor(0.03 * n)
n_test <- n - n_ext - n_int
idx      <- sample(seq_len(n))
idx_ext <- idx[       1:n_ext]
idx_int <- idx[(n_ext + 1):(n_ext + n_int)]
idx_test<- idx[(n_ext + n_int + 1):n]

external_data <- data[idx_ext, ]
internal_data <- data[idx_int, ]
test_data      <- data[idx_test, ]

library(survival)
ext_cox <- coxph(
  Surv(time, death) ~ age_50 + age_50_59 + age_70 + diabetes + male,
  data = external_data
)
beta_external <- coef(ext_cox)

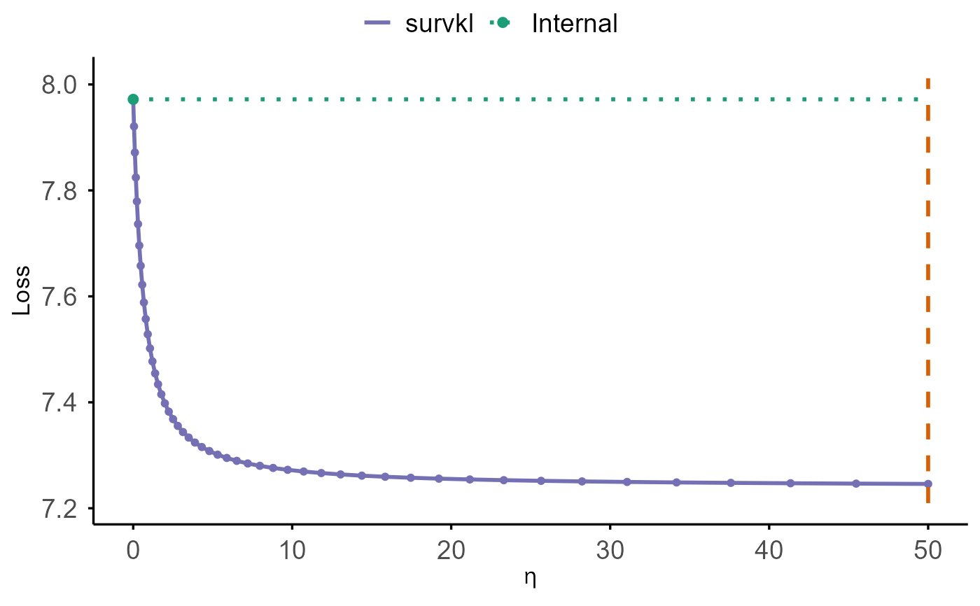
result1 <- cv.coxkl(
  z        = internal_data[, c("age_50", "age_50_59", "age_70", "diabetes", "male")],
  delta    = internal_data$death,
  time     = internal_data$time,
  beta     = beta_external,
  stratum  = NULL,
  etas = generate_eta(method = "exponential", n = 50, max_eta = 50)
)
#> Warning: Stratum not provided. Treating all data as one stratum.
cv.plot(result1)

# }